于都榮盛加油站危險化學品(成品油)儲存經營
發布時間:2020-11-23
|
安全評價單位名稱 |
于都榮盛加油站 |
||||||||||||||||||||||||||||||||||||||||||||||||||||||
|
項目名稱: |
危險化學品(成品油)儲存經營安全現狀評價報告 |
||||||||||||||||||||||||||||||||||||||||||||||||||||||
|
簡 介: |
|||||||||||||||||||||||||||||||||||||||||||||||||||||||
|
于都榮盛加油站是從事成品油經營的企業,職工人數4人。主要經營0#柴油、92#汽油和95#汽油,最大儲存能力為110m3。其中92#汽油罐50m3; 92#汽油罐,95#汽油各一個30m3的儲罐,實際儲存能力為85m3(以汽油計),屬三級加油站。2018年1月經于都縣應急管理局批準取得危險化學品經營許可證(于危[甲]字[2018]01號),該經營許可證將于2021年1月1日到期,需要延期辦理危險化學品經營許可證。根據《中華人民共和國安全生產法》,《危險化學品安全管理條例》,《危險化學品經營許可證管理辦法》國家安監總局令第55號的要求,所有延期換證的危險化學品的企業必須經過安全評價
根據《中華人民共和國安全生產法》,《危險化學品安全管理條例》(國務院第591號令),《危險化學品經營許可證管理辦法》國家安監總局令第55號要求,所有經營危險化學品的企業危險化學品經營許可證到期后必須重新申請延期。延期辦理危險化學品經營許可證的單位必須進行安全現狀評價 |
|||||||||||||||||||||||||||||||||||||||||||||||||||||||
|
安全評價項目組長: |
劉志強 |
||||||||||||||||||||||||||||||||||||||||||||||||||||||
|
技術負責人: |
馬 程 |
||||||||||||||||||||||||||||||||||||||||||||||||||||||
|
過程控制負責人: |
檀廷斌 |
||||||||||||||||||||||||||||||||||||||||||||||||||||||
|
評價報告編制人: |
劉志強 |
||||||||||||||||||||||||||||||||||||||||||||||||||||||
|
報告審核人: |
李永輝 |
||||||||||||||||||||||||||||||||||||||||||||||||||||||
|
參與評價工作的安全評價師: |
劉志強、李永輝、陳 浩 |
||||||||||||||||||||||||||||||||||||||||||||||||||||||
|
注冊安全工程師: |
劉志強、李永輝 |
||||||||||||||||||||||||||||||||||||||||||||||||||||||
|
技術專家: |
劉志強,化工工藝工程師 |
||||||||||||||||||||||||||||||||||||||||||||||||||||||
|
到現場開展安全評價工作的人員名單: |
劉志強 |
||||||||||||||||||||||||||||||||||||||||||||||||||||||
|
時間和主要任務: |
完成時間:2020年11月23日;
主要任務:安全現狀評價報告; |
||||||||||||||||||||||||||||||||||||||||||||||||||||||
|
評價報告: |
|||||||||||||||||||||||||||||||||||||||||||||||||||||||
|
一、評價對象及范圍:
本評價范圍為該加油站在用的設施、設備以及儲存、經營場所的安全狀況;評價該站的安全管理制度、安全組織機構及其安全管理水平。具體范圍如下:
1.層站房1棟及加油罩棚
二、項目基本情況:
整個站區占地面積約940m2,改建站房、加油罩棚、埋地油罐區、停車坪及進出站通道。根據站區地形布置,油罐區(115.7m2)設在加油站東部埋地布置且填滿干細沙,整個油罐區設有圍墻,站房(134m2)設在站區中北部(站房內配電室設在靠北面一側中,中間為營業室,南側為生活用房電磁爐廚房),在站區西南和西北方向與于盤公路連接設出入口,為進出通道。加油罩棚 (120m2)設在站區中西部,3臺稅控(全部為雙槍)加油機安裝在罩棚120m2)下的獨立加油島上。埋地油罐區與罩棚相距13.6m,站區可停車坪一處,設在站區油罐區西南部,為方便卸油,在油罐西側設卸車平臺、消防沙池、密閉卸車快速接口和卸車靜電接地報警儀。
于都榮盛加油站選址位于于都縣禾豐鎮金盆村于盤公路東側旁,加油站北面為地磅房和一小塊空地;東面為石灰巖山坡,坡角在60°至70°;南面為空坪;西面為于盤公路,公路西面目前為空地和零散農村民宅,最近的民宅距離加油機16m。站區西南方向的水泥生產廠區距離加油站埋地油罐和加油機均超過200m,加油站周邊50m內無重要的公共建筑,無工廠、學校、醫院、商業中心,25m范圍內無明火或散發火花地點,50m范圍內無一類保護民用建筑,25m范圍內無二類保護民用建筑,10m范圍內無三類保護民用建筑。1.5(8m)倍桿高范圍內、無架空電力、通訊光纜等。
卸油油氣
卸油工藝流程圖
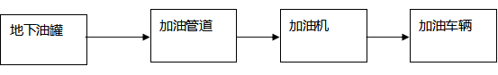
加油工藝:加油作業時,采用潛油泵提供的動力,油品通過加油管道至加油機,進入受油容器。同時,加汽油作業時,有油氣回收回收系統,汽油蒸汽通過油氣回收管道回至汽油罐。具體流程見下圖:
柴油加油工藝流程圖
汽油加油工藝流程圖
三、評價結論
1、于都榮盛加油站三級加油站,由具有相應資質的單位設計和施工,項目取得江西省商務廳成品油零售批準證書,經江西省贛州市安監局審查,經于都縣應急管理局審批取得危險化學品經營許可證,其它符合相關的法律、法規和標準規范的要求。
2、危險有害因素辨識結果
①該加油站經整改擴建設后的經營過程中所涉及的成品油的儲存量,未構成GB18218-2018規范中規定的重大危險源;汽油和柴油均具有易燃易爆等危險、危害特性;其中汽油機為安監總管三〔2011〕95號文件公布的首批重點監管的危險化學品。
②加油站在經營過程中存在的主要危險有:火災爆炸、觸電、車輛傷害、高處墜落、坍塌等,存在的主要危害因素有:中毒與窒息、噪聲、高溫執輻射等,同時存在人為失誤和管理缺陷。其中最主要的危險是火災爆炸。
3、該加油站固有危險程度,儲罐區經危險度評價為中度危險,作業條件危險性分析,其卸油和加油作業均為可能危險,需要注意。
4、該站的選址、自然條件、總體布局,能滿足安全經營條件。加油站將經營區域分為加油作業、卸油作業區和辦公營業區三個分區,功能明確、合理。基本符合《建筑設計防火規范》、《工業企業衛生標準》、《汽車加油加氣站設計與施工規范》的要求。
5、《安全條件評價檢查表》評價表明,該站基本設施安全條件評價結果符合規范要求;《加油站作業安全規范檢查表》評價,總體上符合AQ3010-2007標準要求;《安全措施和應急處置原則檢查表》檢查。對于不符合要求的三項建議,加油站立即進行整改。
6、該站位于于盤公路東側,其西南方為大型水泥生產企業,站區南北兩邊目前尚無其它建筑物,企業應重點關注周邊環境的變化,保證其安全條件的符合性。
7、加油站的主要危險有害因素是火災爆炸,企業應予以重點防范。
綜合所述:該加油站選址合理,建站程序符合要求。加油機、儲油罐等設備由專業廠家生產,工藝流程合理,工藝布置得當,各建筑物距站外有關設施的安全距離基本符合標準要求。站內建筑設施之間距離中加油機與站房的距離符合規范要求,加油島端與罩棚柱的距離符合規范要求。站房、罩棚等站內建筑物的耐火等級及防雷、防靜電接地設施符合標準要求。配電線路整齊,設施符合標準,管理人員有一定的安全管理經驗,從業人員經培訓。安全制度較完善、安全組織健全。該加油站已整改落實,加油站符合安全經營條件的標準。
|
|||||||||||||||||||||||||||||||||||||||||||||||||||||||
|
提交時間: |
2020年11月23日 |
||||||||||||||||||||||||||||||||||||||||||||||||||||||
|
現場影像資料 |
|||||||||||||||||||||||||||||||||||||||||||||||||||||||

下一篇:
江西奧德邦科技有限公司
卸油工藝


